Ukuran kekentalan zat
cair atau gesekan dalam zat cair disebut viskositas. Viskositas dalam
aliran fluida kental sama saja dengan
gesekan pada gerak benda padat. Untuk fluida ideal, viskositas η
= 0, sehingga selalu dianggap bahwa benda yang bergerak dalam fluida ideal
tidak mengalami gesekan yang disebabkan oleh fluida. Akan tetapi, bila benda
bergerak dengan kelajuan tertentu dalam fluida kental, maka gerak benda akan
dihambat oleh gaya gesekan fluida. Besar gaya gesekan fluida dirumuskan:
Ff = k ς v
Koefisien k bergantung pada bentuk geometris benda. Untuk
benda yang memiliki bentuk geometris berupa bola dengan jari-jari r, maka diperoleh nilai
k sebagai berikut:
k = 6 δ r
Sehingga diperoleh rumus
untuk Hukum Stokes sebagai berikut (Siswanto, 2009:164):
Ff = 6 δ ς r v
Keterangan:
Ff = gaya gesek (N)
ς = koefisien viskositas (Ns/m2)
r =jari-jari (m)
v = kelajuan bola (m/s)
Saat bola bergerak ada beberapa
gaya yang mempengaruhinya, yaitu: gaya berat, gaya ke atas (gaya Archimedes),
dan gaya Stokes. Pada saat bola dijatuhkan dalam fluida, bola bergerak
dipercepat vertikal ke bawah. Karena kecepatannya bertambah, maka gaya Stokes
juga bertambah. Sehingga suatu saat bola berada dalam keadaan setimbang dengan
kecepatan tetap. Kecepatan bola pada saat mencapai nilai maksimum dan tetap
disebut kecepatan terminal seperti ditunjukkan pada gambar di bawah ini.
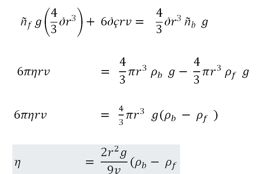
Pada saat bola dalam
keadaan setimbang, maka resultan gaya yang bekerja pada bola sama dengan nol.
FA + FS = W
Karena benda berbentuk
bola dengan jari-jari r, maka volume benda Vb
= (4/3) δr3 sehingga, didapatkan persamaan sebagai berikut
Keterangan:
η
= koefisien viskositas ( Ns/m2)
r
= jari-jari bola (m)
ρb = massa jenis bola (kg/m3)
ρf = massa
jenis fluida (kg/m3)
g = percepatan gravitasi (m/s2)
v = kecepatan terminal bola (m/s)


0 komentar:
Post a Comment